CO2 Emissionen WW (Quelle: VDI )

In der Tabelle sind wesentliche CO2 Quellen aufgeführt, die insgesamt 25,4 Millionen Tonnen CO2 im Jahr ausstossen. Deutschlands Beitrag ist dabei 2,7%. Würde Deutschland sofort den CO2 Ausstoss einstellen hätte das praktisch keinen Einfluss auf das Weltklima. Diese Tatsache wird in den deutschen Klimadiskussionen nicht angesprochen. Man argumentiert lieber mit dem CO2-Fussabdruck, dem CO2 Ausstoss pro Einwohner. Wie der CO2-Fussabdruck die Klima-Realität verschleiert.
Dieser Begriff wurde von Marketing Experten der Ölindustrie erfunden um die Verantwortung für die Umweltverschmutzung der Industrie auf die Kunden abzuwälzen.
Mit einem CO2-Fussabdruck von nur 1,9 t CO2/Jahr ist Indien trotz vieler Kohlekraftwerke Spitze weil die industrielle Produktion in Indien pro Einwohner gering ist. Überraschend ist Deutschland bei der Energieeffizienz tCO2/USD BIP/ Jahr führend! Das kann aber dadurch verfälscht werden dass Deutschland Vorprodukte wie Stahl, Benzin usw aus dem Ausland einführt.
Wenn immer Messwerte auf andere Größen in Bezug gesetzt und normiert werden sollte man sofort misstrauisch werden!
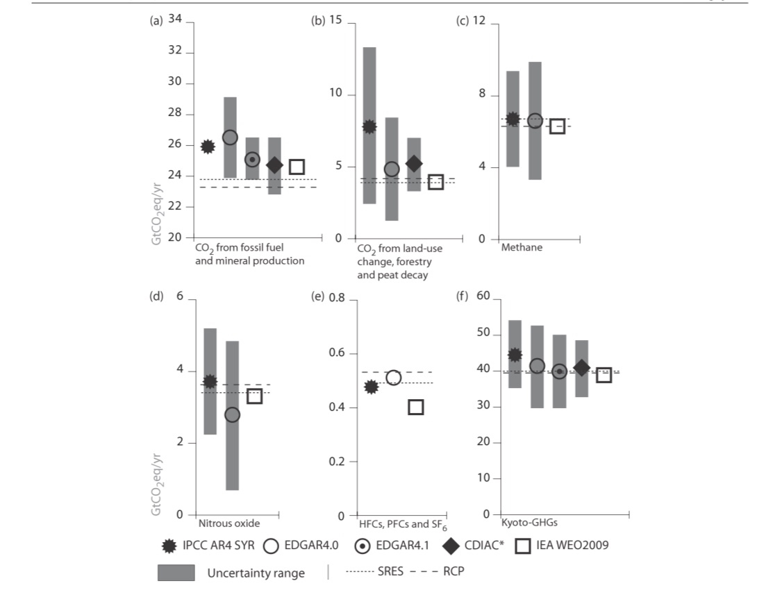
Es gibt verschiedene Modelle den CO2 Gehalt in der Atmosphäre zu bestimmen, die aber bereits Probleme haben die verschiedenen Bezug CO2 Quellen zu identifizieren . Die Wissenschaft ist sich auch nicht einig welche Auswirkung der CO2 Gehalt in der Luft auf das lokale und globale Klima hat. Man ist sich nichteinmal über die Messmethode einig.
Wie in der Statistik üblich gibt man Vertrauensintervalle an, wenn man die Werte nicht genau bestimmen kann. Das ist aber sinnlos wenn man die statistischen Verteilung der Messgrössen nicht kennt. Man sollte sich in den IPCC Berichten kundig machen, mit welchen abenteuerlichen Methoden die verschiedenen Gruppen von Klimawissenschaftlern die Mittelwerte und die Vertrauensintervalle des CO2 Ausstosses bestimmen. Es ist unglaublich wie seriöse Wissenschaftler bei den grossen Misstrauensintervallen beim CO2 Ausstoss eine Begrenzung des Anstiegs der Globalen Welttemperatur (was ist das eigentlich?) um 1,5 Grad durch Verringerung des CO2 Ausstosses erreichen wollen.

Anders als bei Temperaturen an bestimmten Orten auf der Erdoberfläche lässt sich der CO2 Gehalt in der Atmosphäre nur sehr ungenau bestimmen (bei der Lufttemperatur ist es ähnlich – man hat sich aber daran gewöhnt dass die den Menschen umgebende Temperatur gemessen und betrachtet wird). Aussagen über globale Zusammenhänge versucht man mit Modellen zu machen.
Das lässt sich eigentlich nur dadurch erklären, dass eine riesige Zahl von Wissenschaftlern ihre Reputation als Wissenschaftler und ihr Einkommen durch Verfolgung der KLIMAWANDEL IDEE erhalten. Zweifler werden vom SYSTEM eliminiert. Galileo entkam nur knapp der Enthauptung durch die katholische Kirche durch „Maulhalten“ und Rückzug in ein Kloster.
Der Klimawandel ist zu einer Ersatzreligion geworden. Man muss an den Klimawandel glauben. Ähnlich wie bei der katholischen Kirche wird Kritik durch Fakten oder kreative Lösungsvorschläge nicht akzeptiert. Man wird dann zum Klimaleugner.
Kleines Beispiel: glauben Sie als Katholik nicht an die Jungfrauengeburt Jesu? Kein Problem. Bei der Christmette in der Leipziger Thomanerkirche klärte eine evangelische Theologin auf. Bei der Übersetzung des Bibeltextes vom Hebräischen ins Griechische wurde Maria von einer jungen Frau zu einer Jungfrau. Damit macht der Bibeltext für jeden denkenden Menschen Sinn.
Ganz so schlimm wird es für heutige Wissenschaftler nicht werden wenn sie der Klimaideologie nicht streng folgen. Mit den Reisen zu den Klimakonferenzen und Einladungen zu Talkshows mit Klimaschnatterlieschen wird es dann aber wohl vorbei sein.
Du muss angemeldet sein, um einen Kommentar zu veröffentlichen.